功率因数
功率因数是衡量电气设备工作效率高低的参数指标。在交流电路中,它定义为有功功率与视在功率的比值。
在大家印象中,“功率因数由电压与电流之间的相位差决定,它的物理意义是指电压和电流之间相角差的余弦值”。
但只有在“正弦波电路中”,这个说法才是成立的。
如果在非正弦波电路中,功率因数与总谐波失真及基波功率因数有关。
下面以LED 驱动电源输入电流是典型的非正弦波,输入电压为正弦波波形的情况进行分析。其中,VAC输入交流电压,VC2整流二极管的充放电波形,IAC输入电流波形。
总谐波失真
根据傅里叶变换原理,其瞬时输入电流可表示为:
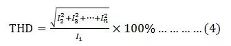
式中,n是谐波次数。输入总电流有效值可表示为:
上式根号中,I1为基波电流有效值,其余的I2、I3分别代表2,3,…n次谐波电流有效值。电流总谐波含量反映了电流波形的畸变特性,用基波电流百分比表示的电流总谐波含量叫总谐波失真THD,也叫总谐波畸变率。
基波功率因数
根据功率因数PF的定义,功率因数PF是指交流输入的有功功率P与输入视在功率S之比值,即
其中,U为输入电源电压;COSφ1叫基波功率因数(相移因数),它反映了基波电流I1与电压U的相位关系,φ1是基波相位角;输入基波电流有效值I1与输入总电流有效值Irms的百分比即λ=I1/Irms叫输入电流失真系数。
功率因数与总谐波失真及基波功率因数的关系
上式表明,在非正弦波电路中,功率因数PF不仅跟基波电流与电压之间的相位角有关,而且还与输入电流失真系数λ有关。输入电流失真系数就是基波电流相对电压的滞后情况。将式(2)与(4)代入式(5),则功率因数PF与总谐波失真THD有如下关系:
上式说明,在相移因数COSφ1不变时,降低总谐波失真THD,可以提高功率因数PF;反之也能说明,PF越高则THD越小。例如,当相移角φ1=0,THD=30%时,PF=0.9578;THD=10%时,PF=0.9950。
在以前,电气设备的波形比较接近正弦波,谐波不多,大多数情况下基波电流I1≈总电流Irms,输入电流失真系数λ≈1,COSφ≈COSφ1,所以COSφ可以等同为功率因数。而在非正弦供电电路中,功率因数没有明确的物理意义,我们更多关注的应该是基波功率因数COSφ1(相移因数)。
我要赚赏金
