前言
很多设计者都知道晶体振荡器都是基于皮尔斯振荡器,但不是所有人都知道具体是如何工作的,只有一部分人能掌握具体如何设计。在实践中,对振荡器设计的关注有限,直到发现它不能正常运行(通常是在最终产品已经在生产时),这会导致项目延迟。 振荡器必须在设计阶段,即在转向制造之前,得到适当的关注,以避免产品在应用中失败的噩梦场景。 本文介绍了皮尔斯振荡器的基础知识,并为其设计提供了指导方针。
1、石英晶体的特性及模型
石英晶体可以将电能转化为机械能的东西,也可以将机械能转化为电能。这种转化主要发生在谐振频率上。石英晶体的等效模型可以用Figure1来表示: C0并联电容:两个电极间形成的电容。Lm动态等效电感:代表机型振动的惯性。Cm动态等效电容:代表晶振的弹性。Rm动态等效电阻:代表电路的损耗。 晶振的阻抗表达式如下(假设Rm可以忽略不记):
下图Figure 2说明了晶振的阻抗与频率的关系
其中Fs是当Z=0时的串联谐振频率,其表达式如下:
Fa是当电抗Z趋于无穷大时的并联谐振频率,假如Fs为已知量,那么其表达式如下: fs和fa之间的区域(图2中的阴影区域)是并联谐振的区域。在这一区域晶振工作在并联谐振状态,并且在此区域晶振呈电感特性,从而带来了相当于180 °的相移。具体谐振频率FP(可理解为晶振实际工作的频率)表达式如下:
根据这个方程,可以通过改变负载电容CL来调整晶体的振荡频率。这就是为什么,在晶体规格书中,晶体制造商指出了使晶体在标称频率下振荡所需的确切CL。 下面Table2给出了一个8Mhz标称频率的等效晶体电路元件值的示例:
使用前面的3个公式,可以计算出Fs和Fa:Fs=7988768HzFa=8008102Hz 如果负载电容CL=10pF,则其振荡频率为:FP = 7995695Hz。要使其达到准确的标称振荡频率8MHz,CL应该为4.02pF。
2、振荡器的原理
振荡器由一个放大器和反馈网络组成,反馈网络起到频率选择的作用。Figure 3通过一个框图来说明振荡器的基本原理。 Figure 3 振荡器的基本原理 上图中:A(f)是放大器部分,给这个闭环系统提供能量以保持其振荡。B(f)是反馈网络,它决定了振荡器的频率。
为了起振,以下的巴克毫森准则必须得到满足。即闭环增益应大于1,并且总相移为360°。
振荡需要初始能量才能启动。通电瞬变和噪声可以提供所需的能量。然而,能量需要足够高才能在所需的频率下触发振荡。 为了让振荡器稳定工作,实际A(f)*B(f)>>1,这意味着开环增益应该远远高于1。振荡达到稳定状态所需的时间取决于开环增益。 仅仅满足振荡条件也不足以解释晶振为什么起振。实际过程是,在这种条件下的放大器是非常不稳定的,任何干扰进入这种正反馈闭环系统都会使其不稳定并引发振荡启动。干扰可能源于上电,晶振热噪声等。同时必须注意到,只有在晶振的工作频率范围内的噪声才能被放大,这部分相对于噪声的全部能量来说只是很小一部分,这也就是为什么晶体振荡器需要很长时间才能启动的原因。
3、皮尔斯晶体振荡器
皮尔斯晶体振荡器有低功耗、低成本及良好的稳定性等特点,因此常见于应用中。
Inv:内部反相放大器。Q:石英或陶瓷晶振。RF:内部反馈电阻。RExt:外部限流电阻,限制反相器输出电流。CL1和CL2:两个外部负载电容。Cs:寄生电容:PCB布线,OSC_IN和OSC_OUT管脚之间的效杂散电容
4、皮尔斯晶体振荡器设计
本节讲了不同的参数,以及如何确定它们的值,以便更好的进行皮尔斯振荡器的设计。
1、反馈电阻RF
在几乎所有的ST的MCU中,RF是内嵌在芯片内的。它的作用是让反相器作为一个放大器来工作。Vin和Vout之间增加的反馈电阻使放大器在Vout= Vin时产生偏置,迫使反向器工作在线性区域(图5中阴影区)。该放大器放大了晶振的正常工作区域内(Fs与Fa之间)的噪声(例如晶振的热噪声),该噪声从而引发晶振起振。在某些情况下,起振后去掉反馈电阻RF,振荡器仍可以继续正常工作。
2、负载电容CL
负载电容CL是指连接到晶振上的终端电容。CL值取决于外部电容器CL1和CL2,杂散电容Cs。CL值由由晶振制造商给出。 振荡频率精度,主要取决于振荡电路的实际负载电容与晶振制造商给出的CL值是否相同。振荡频率是否稳定则主要取决于负载电容值是否保持稳定不变。 调整外部电容器CL1和CL2,使振荡电路实际的负载电容等于晶振制造商标定的负载值CL参数(晶振规格书一般会提供),可以获得标定的振荡频率。 计算公式如下: 举个计算的示例:如果晶振规格书手册中CL =15pF,并假定Cs = 5pF,则匹配电容CL1,CL2有:
3、振荡器的增益裕量
增益裕量是最重要的参数,它决定振荡器是否能够正常起振,其表达式如下: 其中:a、gm是反相器的跨导(高频时单位是mA/V,低频时是μA/V,比如32Khz)。b、gmcrit (gm critical)的值取决于晶体参数。 假定CL1 = CL2,并假定电路实际的CL与制造商给定的CL值相同,则gmcrit表达式如下(其中ESR是指晶振的等效串联电阻):
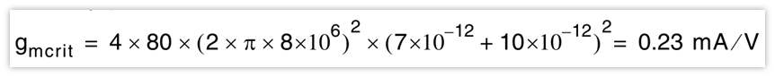
根据Eric Vittoz理论:晶体等效电路的阻抗由放大器和两个外部电容的阻抗来补偿。 为了满足这个理论,gm必须满足gm>gmcrit, 在这种情况下才满足起振的振荡条件。为保证可靠的起振,增益裕量gainmargin的最小值一般设为5。 举个例子,设计一个微控制器的振荡器部分,其gm等于25mA/V。如果所选择的石英晶振的参数如下:频率 = 8MHz,C0 = 7pF,CL = 10pF,ESR = 80 Ω。那么该晶体能否与微控制器配合起振? 计算gmcrit:
进一步计算增益裕量:
此增益裕量远大于起振条件,即gainmargin>5,晶振将正常起振。如果不能满足增益裕量起振条件(即增益裕量gainmargin小于5),晶振无法正常起振,应尝试选择一种ESR较低,CL较低的晶振。
4、驱动功率DL和外部串阻Rext计算
驱动功率DL和串联电阻Rext这两个参数是相互联系的,这也就是为什么在同一节中描述此二者的原因。
a、驱动功率DL的计算
驱动功率描述了晶振的功耗。晶振的功耗必须受到限制,否则石英晶体可能会由于过度的机械振动而导致不能正常工作。通常由晶振制造商给出晶振驱动功率的最大值,单位通常是毫瓦。超过这个值时,晶振可能就会损坏。 晶振的驱动功率DL满足下面公式: 其中:ESR:是指晶振的等效串联电阻(其值由晶振制造商提供的晶振规格书手册给出):IQ:是流过晶振电流的有效值,使用示波器可观测到其波形为正弦波。电流值可使用峰-峰值(IPP)。当使用电流探头时(如Figure6),示波器的量程比例可能需要设置为1mA/1mV。
如前面描述,当使用电位器调整电流值,可使流过晶振的电流不超过最大电流有效值IQmaxrms(假设流过晶振的电流波形为正弦波)。 最大电流有效值IQmaxrms表达式如下:
因此,流过晶振的电流峰峰值IPP(可从示波器读到)不应超过IQmaxPP,IQmaxPP表达式如下:
这也就是为什么需要外部电阻Rext的原因。当IQ超过IQmaxPP时,Rext是必需的,并且RExt要加入到ESR中去参与计算IQmax。
b、另外一个测量驱动功率DL的方法
驱动功率可以由下式计算得出: 其中IQrms是交流电流的有效值。 这个电流可以通过使用小电容(<1pF)示波器探头在放大器的输入端,测量电压变化得到。相对于流经CL1的电流,放大器的输入电流可以忽略不计,因此可以假定经过晶振的电流等于流经CL1的电流。这样,电压的有效值与电流的有效值有如下关系:
其中:
Vpp指的是测量的CL1两端电压的峰峰值。Ctot = CL1 + (CS/2) + CprobeCL1:是放大器输入端的外部电容CS:是寄生电容Cprobe:是示波器探头的电容 这样,最终驱动功率DL可以由下式子得出:
DL的测量值一定不能超过由晶体厂家提供的手册中的DL数值。
c、外部串联电阻Rext的计算
这个电阻的作用是限制晶振的功率,并且它与CL2组成一个低通滤波器,以确保振荡器的起振点在基频上,而不是在其他高次谐波频率点上(避免3次,5次,7次谐波频率)。 如果晶振的功耗超过晶振制造商的给定值,外部电阻Rext是必需的,用以避免晶振被过分驱动。如果晶振的功耗小于晶振制造商的给定值,就不推荐使用Rext了,它的值可以是0Ω。 对Rext值的预估可以通过考虑由Rext和CL2构成了一个滤波器,通带宽度应不小于振荡器频率,当振荡频率正好等于滤波器截止频率时,有下面公式: 举例,当:振荡器频率F = 8MHzCL2 = 15pF 得到:Rext = 1326Ω 优化RExt值的方法推荐如下: 首先根据前面的介绍确定好CL1和CL2的值,其次使用电位器来代替Rext,Rext值可预设为CL2的阻抗,然后调整电位器的阻值直到它满足晶振驱动功率要求。 在计算完Rext值后要重新计算gainmargin的值(参考前面内容)以确保Rext值对起振条件没有影响。Rext值的值需要加入到ESR中参与gmcrit的计算,同时要保证gm >>gmcrit。
如果Rext值太小,晶振上可能会承担太多的功耗。如果Rext值太大,振荡器起振条件将得不到满足从而无法正常工作。
d、启动时间
启动时间是指振荡器启动并达到稳定所需的时间。石英晶体振荡器的启动时间要比陶瓷晶体振荡器的时间要长。 启动时间受外部CL1和CL2电容影响,同时它随着晶振频率的增加而减少。不同种类的晶振对启动时间影响也很大,石英晶振的启动时间比陶瓷晶振的启动时间长得多。 起振失败通常和gainmargin有关,过大或过小的CL1和CL2,以及过大的ESR值均可引起gainmargin不能满足起振条件。 频率为MHz级的晶振的启动时间是毫秒级的,而32kHz的晶振的启动时间一般要1~5秒。
e、晶体牵引度
晶振的牵引度是指工作在正常并联谐振区的晶振频率的变化率。这也用于衡量随负载电容变化而导致的频率变化,负载电容的减少会导致频率的增加,反之负载电容的增加会导致频率的减小。晶振的牵引度表达式如下: 晶振选型及外部器件的简易指南 本节给出了一个挑选合适的晶振及外部器件的简易指南,一共可分为3个主要步骤:
1、计算增益裕量gainmargin
首先选择一个晶振(根据MCU需求及晶振手册)然后计算晶振的增益裕量(gainmargin)并检查其是否大于5:如果gainmargin < 5,说明这不是一个合适的晶振,应当换一个低ESR值或低CL值的晶振,知道满足大于5的条件。
2、计算外部负载电容
计算CL1和CL2的值(计算方法见前面章节),并检查标定为该计算值的电容是否能在市场上获得。 如果能找到容值为计算值的电容,则晶振可以在期望的频率正常起振。如果找不到容值为计算值的电容,在对频率的要求不是特别苛刻时,选择市场上能获得的电容中容值距计算值最近的电容,然后转到第三步。
3、驱动功率及Rext的计算
计算驱动功率DL并检查其是否大于晶振的DL参数要求DLcrystal:如果DL < DLcrystal,没必要使用外部电阻,祝贺你,你找到了合适的晶振。如果DL > DLcrystal,应该计算Rext使其确保DL< DLcrystal并据此重新计算Gainmargin。如果Gainmargin> 5,祝贺你,你找到了合适的晶振。如果Gainmargin< 5,需要再重新挑选另外一个晶振,然后重新回到第一步。
转贴自网络
我要赚赏金
