表征激光器腔内光子数和工作物质各有关能级上的原子数随时间变化的微分方程组,称为激光器速率方程组。
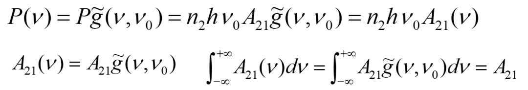
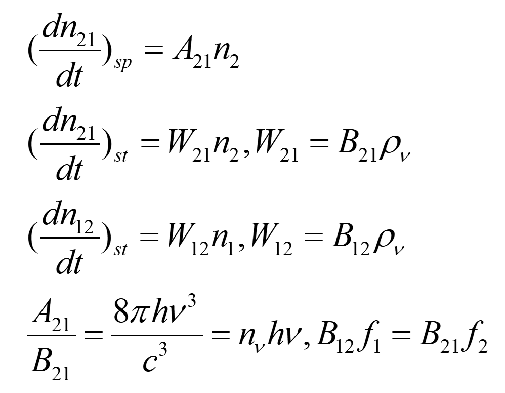
归纳共性,针对一些简化的、具有代表性的模型列出速率方程组,所谓的三能级和四能级系统。激光速率方程理论的出发点是原子的自发辐射、受激辐射和受激吸收概率的基本关系式。1,爱因斯坦采用唯象法得到光和物质相互作用的关系式
2,考虑线型函数后必要的修正线型函数可以理解为跃迁概率按频率的分布函数
对表达式进行修正
3,原子和准单色光相互作用
4,****截面和吸收截面
5,单模振荡速率方程组三能级系统速率方程组:各能级集居数随时间变化的方程和激光器腔内的光子数密度随时间变化的规律。
四能级系统速率方程组
采用激励速率和能级寿命来描述粒子数变化速率而不涉及具体的激励及跃迁过程。前面的速率方程忽略了激光下能级的激励过程,对大部分激光工作物质来说,这一忽略是允许的。根据所研究工作物质的激励与跃迁过程选择或建立适用的速率方程。6,多模振荡速率方程
7,总量子效率
(文章来源:本文整理于网络。如文中有什么不当之处请随时联系我们,我们将及时进行修改。)激光检测仪器推荐光束质量分析仪推荐理由:自主研发,性价比高,专业可靠
光研科技自主研发的光束质量分析仪是近日光电圈备受关注的一种光学检测仪器,也是国内少有的自主研发的优秀光学检测仪器。这款产品目前已经得到了很多用户的好评。
这种光束质量分析仪不仅实用可靠,而且专业便捷,也可以根据用户要求定制,关键是在很多方面可以替代国外的进口产品!
其中“Beamfiler Basic光束质量分析仪”是整个系列的基础版。也是这个系列产品的爆款型号!它不仅价格实惠,关键是能够帮助大家解决很多实用的问题,比如实验室里面的镜头参数检测测试,一些设备的透射光斑监测等等。外形尺寸:
性能特点:本产品像素大小3.45μm光斑检测直径范围34.5μm~7mm标配磁吸衰减,方便操作,可选更高功率衰减配置,功率范围可达1000W支持手动和自动实时曝光及增益调节高性价比,可代替进口激光光束质量分析仪,实现激光光斑检测及测试应用典型应用:需要对激光光斑形状进行检测得场合,如激光生产,维护以及激光应用;光学器件质量检查;激光腔镜调整;外光路准直;光纤对准耦合分析等。产品参数:
激光功率计推荐理由:性价比高,使用方便,应用广泛
在很多激光行业的工作中,我们经常需要测试激光器出光口或光路聚焦点功率和能量。这个系列的激光功率计是一种优秀的光学仪器,它是光电设备售后人员的必备工具!(下图可以点击查看大图)
我要赚赏金
