摘要:本文介绍了中低压开关柜内部发生电弧故障的原因、危害以及弧光保护在中压母线保护中的原理、用途、应用关键点,同时还介绍了弧光保护应用现状,探讨了无线测温在线监测系统在实际工作场景中的应用案例,证明了其在电力监控方面的重要应用价值。
关键词:弧光保护。
0
引言
与变电站高压开关柜、室外刀闸开关等一些重要的设备,经过长期的运行,往往开关触点以及母线连接出会由于老化、接触过大的电阻而发热,而这些发热位置的温度不能得到提前预警监测,就容易导致安全事故的发生。我们知道,高压设备接头部位的温度难以监测,这主要是由于此部位都会有高压裸露,采用一般的温度测量方法由于不能解决高压绝缘问题,所以都不可使用。无线测温监测装置,通过无线电波来传输信号,传感器主要是安装到高压设备上,同接收设备间无电气联系,所以,无线测温系统能够从根本上解决高压设备发热部位温度监测难的问题。
我国的电力工业已经进入大规模的发展建设,大量的用电设施,对电力的需求是极大的,因此,这时我们需要在安全可靠、经济运行的背景下,提供这些需求,但是电力方面的发展还不够完善,存在着弊端和安全隐患。本文就几个方面来探讨中低压系统母线装设弧光保护的必要性。
1
重视中低压母线故障的原因
我国电力发展建设的速度超前,它已经进入人电网、大机组、超高压输电阶段,并且对发电机组的容量要求越来越高,这时就需要在安全运行方面要跟上要求,因为单台大机组的运行情况,会直接影响到整个电网的运行稳定性、安全性以及经济性。同时,发电厂的用电系统与安全运行,对发电机组的影响也越来越大。由此可以看出,如果中低压母线出现故障,它会产生弧光,所产生的弧光对电力设备及人本身的影响极大,会造成不同程度的损伤,有时还会引发“链式反应”。国家对于这个问题极其重视,按照我国现行的继电保护设计标准来看,在配置方面一般不会使用专用的设备进行保护,而是采用另一种方法,即借助于上一级元件的后备过流的方法来保护,从而切除中低压系统母线短路的问题,这样的做法是有弊端的,电路故障应该用最短的时间去维修,而这类保护方法会导致维修时间延长,对设备也有一定的损伤。这些问题如果没有使用恰当的方法,还会引起不同程度的故障,轻则会发展为输电网故障,重则会使电力系统出现整体的故障。
2
中低压系统母线故障发生的原因
弧光放电燃烧,表示着中低压母线出现了故障。中低压母线所释放的能量是极大的,它发生故障时所产生的弧光,会使压力和温度瞬间升高,形成电弧之后,与它接触的空气会被立刻电离,继而会产生具有极高能量的爆炸性压力和高温,在产生这些巨大能量的时候,如果没有及时被切除,将会对设备以及人员造成不同程度的损伤。然而,造成中低压开关柜内出现这类故障的原因有很多。
2.1设备质量不过关
没有科学合理地设计开关柜的结构,开关柜过大或者过小,再加上制造质量没有做到位,在正式投入使用时,会导致绝缘处老化以及机械设备受到磨损,从而会导致它的绝缘水平程度下降,设备质量方面,需要为后面的使用打下良好的基础,质量方面如果不过关,就会导致后续出现问题。
2.2运行维护不到位
运行维护方面也是极其重要的,它在什么样的环境下使用,关乎到系统的稳定性与安全性。如果在高温、潮湿、化学侵蚀等这些恶劣环境下运行,所使用的绝缘材料便容易受损,会缩短它的使用期限,而在绝缘的表面,会出现一些不同程度的损伤,绝缘便会出现故障,进而 就会导致中低压母线系统出现短路的故障。
2.3维护操作不当
电厂的检修维护在整个系统中起着关键的作用,而有些人对这个工作极不重视,常常会出现由于操作不当而出现的故障,如在检修时,误将自己的工具遗落在开关柜中、忘记测量并记录自己所在工作区域的电压等, 这些典型的操作不当,都会引起中低压系统母线出现故障,进而导致出现更大的问题。
2.4其他
除了上述这些因素以外,还有一些由于工作人员的不认真造成的故障,如开关柜没有密封好,一些小动物会偷偷溜进去,对绝缘处进行啃咬,从而导致中低压系统母线出现故障。除此之外,电力系统的迅速发展,电网的结构总是在不停地改变,用电的情况增多,从而导致电缆增多,电量超负荷,也是故障出现的所在。
3
弧光母线的保护系统工作原理
弧光产生断路的危害性极大,弧光会在开关柜内发生爆炸,而燃烧的气体和热能会迅速扩散到周围,并且它还能融化和蒸发金属,由于这些危害,我们才需要一个保护系统。不仅这样,任何设备都需要保护,中低压系统母线也不例外。而电弧光母线的保护系统,是一种针对中低压系统母线的特点经过多位专家研究出来的系统,它具有多种优点,它适用于各种运行方式,在各种运行方式下都不需要人为进行切换就能进行保护,这是一个便利的系统,不仅能起到很好的保护作用,还能提高可靠性,是一个理想型的保护中低压系统母线的解决办法。
3.1弧光的原理
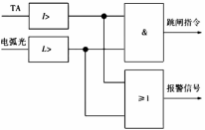
弧光保护的原理,如图 1所示,它的动作判断据为故障时产生的两个条件,也就是弧光和电流增量。在发生故障时,它会检查开关柜,然后,在同时检测到弧光和电流增量时,就会下达跳闸的指令。
图1 弧光保护原理示意图
3.2弧光的特点
人们选用这个保护系统,是由于它具有很多明显的优点:①它的原理简单、通俗易懂,保护结构简单,它在发生故障时,只需要检查开关柜内,然后,在同时检测弧光和电流增量,就会下达跳闸的指令;②能够更快迅速 地发现故障并起到保护作用,当出现电路故障时,应该用及时地去维修,而这个系统能最快的发现故障,以检测弧光信号和过流关闭为依据,从而可以实现保护的可靠动作,这个系统起到一个连锁反应,本身会连锁自我检查,如此就能够充分地保证整个系统的安全性以及可靠性;③能准确地找出故障点并准确定位,在发生故障时,它能够准确地找出故障点,并且能够准确地标记故障点的位置,能保证工作人员在维修时,能快速地找到故障位置,并且处理故障来恢复供电系统;④在断路器不起作用时,起到一个保护作用,在主断路失控的情况下,它可以发出一个指令,不受其他机器的控制,跳过上一级完成跳闸动作,从而提高系统的安全性与可靠性。这些特点,更好地说明了这个保护系统的优越性,是保护中低压系统母线最好的解决办法。
4
弧光保护系统与变压器后备过流保护的对比
弧光保护系统是专门用于来保护中低压系统母线的系统,它的动作时间快,相比于传统的保护系统,要更具有优越性,它采用弧光和电流闭锁的方法来进行双重判断,增加了它的可靠性,从而对安全性能也有了一定的保障,它在发生故障时,能准确地定位,减少了维修人员查找的时间,大大减短了维修时间,从而来保障故障之后快速供电。
而变压器后备过流保护它也有优点,它不需要专门的1套装置系统,工作量较小,而且它不能像弧光保护系 统那样对故障点准确定位,耗费的时间长,并且可靠性低。总而言之,各有各的优点,但是从综合来看,弧光保护系统是比较理想的解决方法。
5
安科瑞ARB5-M弧光保护装置
5.1产品选型说明
ARB5-弧光主控单元
(1)*表示可选附件。
(2)主控板和采集板数量之和不能大于4。
(3)弧光探头到采集板的长度不能超过20米。
(4)如有特殊要求,请特别注明。
5.2功能和技术参数
5.3弧光保护产品现场安装
弧光保护主控单元、探头安装图如下:
6
结语
随着我国电力建设的发展,发电厂日渐增多,发电厂中的中压开关柜也日渐增多,而随之而来的就是故障不断地出现,因此,我们对中低压系统母线的保护,应该越来越重视。中低压系统母线的保护,不仅需要精准、熟练地掌握技术,还需要一些保护系统来协调配合完成,而弧光保护系统作为一个理想的解决方法,可以有效地解除故障,减少设备维护的次数,提高电力系统的经济效益,提高电力系统的安全性和可靠性,将损失降到最低,保证电力可以不断地供给,从而保证了整个电力系统安全、稳定地运行。
我要赚赏金
